আজি গুৱাহাটীত আৰক্ষীয়ে প্ৰদৰ্শন কৰিব শতাধিক চুৰি মোবাইল, লেপটপ…

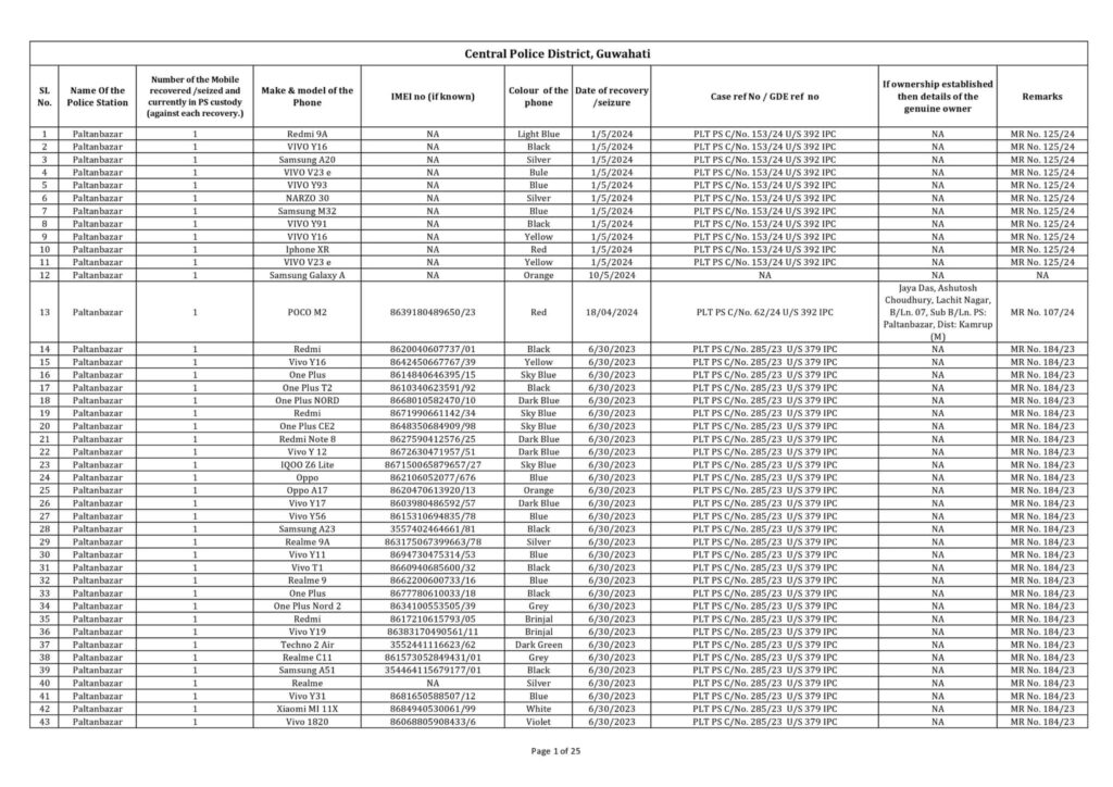
গুৱাহাটীত এতিয়া মোবাইল-লেপটপ চুৰি হোৱাৰ ঘটনা বৃদ্ধি পাইছে। এনে সময়তে গুৱাহাটী আৰক্ষীয়ে আজি ​​৬৫০ টা মোবাইল ফোন আৰু ১৬ টা লেপটপ প্ৰদৰ্শন কৰিব।

এইবোৰ চোৰৰ পৰা উদ্ধাৰ কৰাৰ পিছত মহানগৰীৰ বিভিন্ন থানাত পৰি আছিল। প্ৰকৃত মালিকৰ অনুসন্ধান নোহোৱাৰ বাবে সেই বোৰ পৰি আছিল। এতিয়া আগ্ৰহী ব্যক্তিসকলে এই বিশেষ প্ৰদৰ্শনীখনলৈ গৈ তেওঁলোকৰ হেৰুৱা মোবাইল-লেপটপৰ সন্ধান কৰিব পাৰিব। চিনাক্ত কৰিব পাৰিলে আৰু মালিকীস্বত্বৰ প্ৰমাণ দেখুৱাই দাসেয়া নিজৰ বুলি দাবী কৰিব পাৰিব। গুৱাহাটী আৰক্ষী আয়ুক্ত, পাণ বজাৰ, গুৱাহাটীত শুকুৰবাৰ পৰা এই মোবাইল-লেপটপৰ প্ৰদৰ্শনী হ’ব।

Related Articles